皇冠信用盘怎么开户 _人类首次!物理学家终于“看到”物体加速到99.9%光速的样子
皇冠信用网登123(HGTY.us)皇冠会员开户_登3代理,皇冠体育/—开会员账号—皇冠信用网招登1登2登3管理皇冠信用网代理出租,转载自《环球科学》
撰文:王昱
审校:冬鸢
当物体以接近光速运动皇冠信用盘怎么开户 ,会变成什么样子?请看以下动图:


科学家在实验室中模拟物体接近光速时运动的样子皇冠信用盘怎么开户 。图片来源:原论文
你可能在中学课本里学习过狭义相对论:当物体以近光速运动时,它的长度会缩短(“尺缩效应”),这一现象早已被各种各样的物理实验证实皇冠信用盘怎么开户 。

展开全文
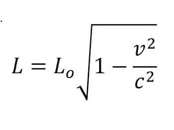
尺缩效应公式
所以你大概会认为,如果有一个立方体从你面前以近光速经过,而你的视力又恰巧非常好,你应该会看到这个立方体在运动方向上被压扁了皇冠信用盘怎么开户 。
但事实并非如此皇冠信用盘怎么开户 。狭义相对论确实表明物体在以光速运动时会发生“尺缩效应”,但这并不意味着这些物体“看上去”会缩短。
这是因为尺缩效应依赖测量的同时性,而我们看到物体外貌的并不是物体本身,而是同时抵达我们眼中的光线皇冠信用盘怎么开户 。
当物体以近光速运动时,物体运动的速度和光线本身的速度接近皇冠信用盘怎么开户 。这会导致我们某一时刻看到的光线,是物体的不同部分在不同位置发出的,从而扭曲我们看到的图像。这种扭曲能在数学上精确抵消尺缩效应,让我们最终看到的物体没有压缩,而且就像扭转了一样。
1959年,英国科学家罗杰·彭罗斯(Roger Penrose)和美国科学家詹姆斯·特雷尔(James Terrell)独立预测了这种效应,并让更多人意识到了这一点皇冠信用盘怎么开户 。因此,这种现象被称为特雷尔-彭罗斯效应(Terrell-Penrose effect)。

立方体以不同速度运动时(c为光速),尺缩效应(左)和它看起来的样子(右)皇冠信用盘怎么开户 。当观测者看到立方体后侧的光线时,他看到的来自立方体前方的光线,实际上是立方体运动到更前方时发出的。这会导致立方体看起来就像旋转了一样。图片来源:Wikipedia

球体以不同速度运动时(c为光速),尺缩效应(左)和它看起来的样子(右)皇冠信用盘怎么开户 。特雷尔-彭罗斯效应会导致它看起来就像旋转了一样。图片来源:Wikipedia
不过,后来人们发现,这种现象其实早就有人讨论过皇冠信用盘怎么开户 。最早是在1924年,奥地利物理学家安东·兰帕(Anton Lampa)就讨论了这种现象。而在人类发现这一现象差不多100年之后的今天,有科学家通过实验观测到了这种现象。
模拟光速运动
为了直观观测到特雷尔-彭罗斯效应中物体的扭转,实验必须使用宏观物体而非微观粒子进行皇冠信用盘怎么开户 。但很显然,目前人类没有任何手段将宏观物体加速到接近光速——如果真的有人能做到这一点,那简直就是《三体》中的“光粒”。所以,科学家只能在实验室中模拟以光速运动的物体。
今年5月,一篇发表在《通讯物理》(Communications Physics)上的论文表示,科学家使用超短激光脉冲和超高速摄影技术,制作出光线的定格动画,模拟出了物体以0.8倍光速(0.8c)、0.999倍光速(0.999c)运动时,它看起来的样子皇冠信用盘怎么开户 。
文章首先用下图阐释皇冠信用盘怎么开户 了特雷尔-彭罗斯效应的原理:
对于以接近光速(比如0.7倍光速)运动的物体,距离相机较远点(如图中的B点)的光必须比较近点(A点)更早发射,才能同时到达相机皇冠信用盘怎么开户 。在光从B传播到A的这段时间内,物体已经移动,A点移动到了A‘的位置。(在速度远低于光速时,这个移动可以忽略,所以我们在日常生活中不会感受到)
因此,相机捕捉到的并不是物体在某一时刻的瞬时状态,而是由不同时刻、不同位置的碎片信息拼接而成的图像皇冠信用盘怎么开户 。这导致物体在运动方向上看起来被拉长了,而这种拉长恰好精确地补偿了洛伦兹收缩,最终效果就是物体看起来像是被旋转了。

当下方的摄像机接收到圆盘B点的光线,同时接收到的圆盘A点的光线其实是从A'点发出的,因此视觉上会表现出倾斜皇冠信用盘怎么开户 。图片来源:原论文
在具体实验设置上,研究人员使用持续时间1皮秒(1秒=10¹²皮秒)的超短激光照亮运动物体,并同时在激光器旁边架设超高速摄像机给物体拍照皇冠信用盘怎么开户 。每次激光脉冲后,相机在一个极短的特定延迟时间后开门曝光。
拍照时,研究团队将曝光时间限制到了400皮秒,在这样短的时间内,光的传播距离是12厘米皇冠信用盘怎么开户 。因此,每次曝光只能捕获到那些光程与“激光发射时间+延迟时间”精确匹配的物体部分反射回来的光。最终拍出的照片,实际上是光在物体上切割出、在视线方向上厚6厘米的“切片”。
通过调整激光发射和相机曝光两者间的延迟时间,研究团队可以拍到物体不同位置的切片皇冠信用盘怎么开户 。

实验设置情况,下方为激光器和超高速摄像机,上方为接收并散射激光的物体皇冠信用盘怎么开户 。图片来源:原论文
上述步骤获得的是静止物体在不同深度的时间切片皇冠信用盘怎么开户 。如何让它看起来在高速运动呢?关键在于机械位移与图像合成:
研究人员首先制作了按照洛伦兹因子收缩的物体模型皇冠信用盘怎么开户 。例如,一个边长为1米的立方体,在0.8倍光速的速度下,其长度应收缩为原长的0.6倍,因此他们制作了一个 1m × 1m × 0.6m 的长方体。对于速度为0.999c的球体,模型则被压缩成一个几乎平坦的圆盘。

实验使用的立方体,长宽高为1 × 1 × 0.6 米皇冠信用盘怎么开户 。图片来源:原论文
接着,研究人员将被拍摄的物体横向移动4.8厘米,再重复上述的切片拍摄皇冠信用盘怎么开户 。不断重复这个过程,他们就得到了物体在不同位置的大量切片拍摄图片。接着,他们还需要将这些切片以特定顺序组合成我们某一时刻看上去的样子。
在完成一个位置的所有时间切片拍摄后,他们将物体在运动方向上移动一个特定的距离,模拟了物体一定速度的移动(为了模拟0.8倍光速,这个距离通过计算得出是4.8cm)皇冠信用盘怎么开户 。不断重复,他们就得到了物体在不同位置的大量切片拍摄图片。接着,他们还需要将这些切片以特定顺序组合成我们某一时刻看上去的样子。
以之前图片中的C点为例,我们可以将物体在初始位置位于最远端的切片(C端),和物体在下一个位置、但距离镜头更近的相邻切片组合在一起皇冠信用盘怎么开户 。接着,将多个位置的不同切片照片按这样的顺序切片组合起来,我们就得到了物体以0.8倍光速运动的定格照片。

将物体在不同位置(横轴j)拍摄的不同切片照片(纵轴i,数字按从远到近排列)按错位方式组合成同一帧(S₀、S₁……),再将这些帧组合成连续的视频,研究人员就能模拟出物体以近光速运动的视频皇冠信用盘怎么开户 。图片来源:原论文
研究团队按照这种方式制作出了多张照片,并将照片组合成视频皇冠信用盘怎么开户 。视频每秒播放30帧,光在相邻切片之间传播的距离为6厘米,这相当于他们视频中的模拟光速仅有1.8米/秒。就算视频中的立方体移动速度仅有1.44米/秒,在视频中也相当于光速的0.8倍。

模拟立方体以0.8c运动的样子皇冠信用盘怎么开户 。图片来源:原论文
极限光速
研究团队还将一个圆盘几乎侧对着摄像机,模拟圆盘的尺缩效应,并用上面拍摄立方体的方式,模拟拍摄了圆盘以0.999c运动的图像皇冠信用盘怎么开户 。

模拟极端光速时,圆盘侧对着摄像机皇冠信用盘怎么开户 。图片来源:原论文
结果显示,就算物体因为极端接近光速的运动,发生了严重的尺缩效应,它看起来也是一个完整的圆皇冠信用盘怎么开户 。原本侧对着摄像机的圆盘,因为特雷尔-彭罗斯效应就像转了过来一样,正面面向摄像机。

模拟圆盘以0.999c运动的样子,开始多余的部分为支撑结构皇冠信用盘怎么开户 。拍摄时圆盘侧对摄像机,但在最终图像中它却像转过来了一样。图片来源:原论文
你有猜到光速世界的样子吗皇冠信用盘怎么开户 ?
参考论文:
参考链接:
撰文:王昱
审校:冬鸢
猜你喜欢
- 1个月前网上买球怎么买 _20℃!湖北大部雨水退场三日,抓紧赏花!下一轮雨已安排
- 1个月前买球的正规网站 _世界杯资格赛-韩旭22+8王思雨17分 中国女篮胜巴西
- 1个月前信用平台出租 _给了机会不中用!国米战平+遭争议判罚,但米兰输球再送1分优势
- 1个月前皇冠信用盘登1 _漂白鸡爪、AI被“投毒”、哈啰被点名……315晚会曝光了什么
- 1个月前皇冠足球平台代理 _兵工厂的“晚场秀”:替补双响绝杀埃弗顿,道曼书写英超最年轻进球历史,剑指欧冠
- 1个月前世界杯皇冠代理平台 _伊朗使用子母弹轰炸以色列,意图实施“斩首”,以媒拍到下落画面
- 1个月前信用盘怎么开户 _市民举报西安一商业街小店门头挂七个招牌,多家外卖店共用一个后厨,官方通报
- 1个月前法国 vs 洲际附加赛2组胜者 _俞白眉透露《镖人》已经差不多回本 直言武侠电影最大困境是演员断层
- 1个月前皇冠信用网代理登1 _国米第12轮输给米兰之后连续15轮不败,但今天又被米兰终结
- 1个月前皇冠信用网开号 _“霸总”围猎中老年女性,人大代表急了
- 1个月前皇冠信用网平台代理 _骇人!德黑兰降下“黑雨”,伊朗专家:美以蓄意制造灾难
- 1个月前皇冠注册平台 _明天,油价又要调整!加满一箱50L的95#汽油,预计将增加20.5元
- 1个月前皇冠信用账号怎么开 _微镜头·习近平总书记两会“下团组”丨中国式现代化,每个人都是主角
- 1个月前皇冠信用网要押金吗 _俄罗斯发动大规模袭击,乌克兰多地停电!美国向乌求援,泽连斯基:对技术交流和武器交换持开放态度!乌方:要无人机就拿“爱国者”换
- 1个月前皇冠信用网可以占几成 _巴尔韦德补时绝杀:惊天远射助皇马逆转塞尔塔!
- 1个月前皇冠信用网出租 _毛绒玩具当妈妈,被全世界心疼的小猴还有救
- 1个月前皇冠信用网代理 _阿里批准林俊旸辞职,知情人士:没有用商业化目标考核基模
- 2个月前皇冠信用网开户 _血债血偿!伊朗发起“斩首”行动,导弹直击以总理办公室,内塔尼亚胡开战即溜
- 2个月前皇冠信用网代理申请 _主持人李佳念发文:迪丽热巴·迪力木拉提请你平安
- 2个月前足球外围买球网站 _全国人大代表方燕:建议强制清退严重侵害业主利益的物业公司
- 2个月前皇冠信用网申请条件 _美媒爆:美国正为未来24小时内“大幅增加”对伊朗袭击做准备
- 2个月前皇冠信用网账号申请 _一面黑色哀悼旗升起,伊朗首个盟友参战,向以色列发射导弹,特朗普被坑惨了
- 2个月前皇冠登3管理出租 _伊朗4枚弹道导弹“突袭”美军航母,却变成一场“昂贵的烟花秀”
- 2个月前皇冠信用网在哪里开通 _多位青岛旧将出战中国超级杯,北京国安2:0战胜上海海港夺冠


网友评论